功率放大器在抗疲勞高壓電壓電材料研究中的應用
實驗名稱:功率放大器在抗疲勞高壓電壓電材料研究中的應用
研究方向:壓電材料
實驗內容:
利用函數發生器設置想要加載在樣品兩端的波形,將電壓信號輸入安泰電子的ATA-2161電壓放大器,根據自己所需電壓設置放大器放大的倍數,并將放大的正負輸出端分別加載于負載兩端,同時在實驗過程中,利用放大器尾端監視接口連接示波器,實時檢測實驗過程中電壓信號。對材料施加交流電壓循環測試,檢測其抗疲勞特性
測試目的:檢測材料在疲勞循環下的電學性能變化
測試設備:函數發生器、高壓放大器、示波器
放大器型號:ATA-2161功率放大器
實驗過程:
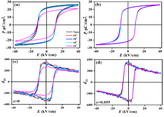
實驗目的是測試壓電陶瓷在經過不同周次循環后電學性能特性,壓電陶瓷片表面被銀后放在特制的加壓模具中,整個模具浸泡在硅油中,防止高壓產生的電火花引發危險。首先利用函數發生器設置想要加載在樣品兩端的波形,將電壓信號輸入ATA-2161電壓放大器,根據自己所需電壓設置倍數,并將放大的正負輸出端分別夾在模具的正負極,整個實驗過程中,在放大器尾端連接示波器,實時檢測實驗過程中電壓信號。

測試結果:
利用ATA-2161高壓放大器對樣品進行加壓測試后,通過所加電壓頻率及時間測算電場循環的頻次,在施加不同次數的電壓后,放入專門測試儀器中測試其電學性能,具體結果如下圖所示,左右兩列為不同組分的性能測試圖,對比改性前的組分,改性后的組分有明顯的電場抗疲勞效應,施加電場循環后仍能保持很好的電學特性。

放大器在該實驗中發揮的效能:將函數發生器中的電壓信號放大
功率放大器ATA-2161電壓放大器參數指標:

本文實驗素材由西安安泰電子整理發布,西安安泰電子是專業從事功率放大器、高壓放大器、功率信號源、前置微小信號放大器、高精度電壓源、高精度電流源、功率放大器模塊等電子測量儀器研發、生產和銷售的高科技企業。公司致力于功率放大器、計量校準產品等產品為核心的相關行業測試解決方案的研究,為用戶提供具有競爭力的測試方案,Aigtek 已經成為在業界擁有廣泛產品線,且具有相當規模的儀器設備供應商,樣機都支持免費試用。如想了解更多實驗方案,請持續關注安泰電子官網m.dzbanwu.cn或撥打029-88865020。


























