微位移平臺性能測試中功率放大器的應用
實驗名稱:基于壓電疊堆的大力矩微位移平臺研究
研究方向:微位移平臺的性能測試
實驗內容:
為了掌握微位移平臺的工作特性,必須通過實驗去進一步分析和驗證其工作特性,運用了高速高精度的激光測試方式,對平臺進行靜態測試。
實驗設備:信號發生器、示波器、功率放大器、激光測試儀
實驗過程:
為了對微位移平臺進行測試,首先需要通過波形發生器和功率放大器為微位移放大機構中的壓電疊堆施加正向電壓,使其輸出相應的位移量,其次通過連接有電腦的激光測試儀對微位移平臺的位移進行實測。
測試系統組成為:
信號發生器是Tektronix的AFG320,示波器是Tektronix的TDS1012,功率放大器是Aigtek的ATA-4052高壓功率放大器,激光測試儀是Keyence的高速高精度激光位移傳感器(傳感頭LK-H020,控制器是LK-G5001V,電源是MS2-H50)。
微位移平臺測試系統如圖:

靜態位移特性測試:
靜態位移輸出測試是用來測定平臺輸出位移隨電壓變化的靜態變化性能。測試中,在固定鉸鏈固定的情況下,對其中一個壓電疊堆施加電壓,然后用激光測試儀測試相對應的平臺位移量,驅動電壓范圍是0-200V,每隔40V做一次測量,每次測量時驅動電壓加載時間為30s,得到平臺隨驅動電壓變化的電壓位移關系。
為了掌握平臺隨電壓變化時的遲滯特性,做如下測量:設置驅動電壓范圍是0-100V,首先從0V逐步生壓到100V,然后再逐步減小電壓至零。每隔5V記錄一個位移量,重復測試并進行數據匯總處理后,得出平臺的電壓-位移變化曲線。

穩定性測試:
穩定性測試就是用來測試微位移平臺的蠕變特性的,測試時,取7種電壓值,當施加某一電壓后,每隔30s記錄平臺對應的位移量。

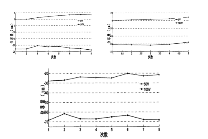
反復精度測試:
由于微位移平臺的移動嗯號定位是由加載或撤除電壓的壓電疊堆形變產生,所以壓電疊堆的特性也就影響了平臺的運轉特性。通過微位移平臺在不同輸入電壓下,反復多次不清零的情況下平臺的位移情況進行測試,分別取50V和100V對平臺在加載和撤除電壓的情況下,其位移變化曲線如下:

關于ATA-4052功率放大器介紹:
ATA-4052是一款理想的可放大交、直流信號的單通道高壓功率放大器。最大輸出310Vp-p(±155Vp)電壓,437Wp功率,可以驅動高壓功率型負載。電壓增益數控可調,一鍵保存常用設置,為您提供了方便簡潔的操作選擇,可與主流的信號發生器配套使用,實現信號的完美放大。
本文實驗素材由西安安泰電子整理發布,如想了解更多實驗方案,請持續關注安泰官網m.dzbanwu.cn。Aigtek是國內專業從事測量儀器研發、生產和銷售的高科技企業,一直專注于功率放大器、功率放大器模塊、高精度電流源等測試儀器產品的研發與制造。
原文鏈接:http://m.dzbanwu.cn/news/658.html


























