Aigtek功率放大器在多頻平衡電磁檢測中的應用案例展示
為了研究鋼板表面與背部缺陷多頻平衡電磁檢測相關問題,驗證多頻平衡電磁方法對管道內外缺陷的檢測效果,研究功率放大器在弱信號中的應用,特進行以下實驗驗證。
實驗名稱:鋼板表面與背部缺陷多頻平衡電磁檢測
研究方向:自動化及檢測技術
實驗內容:根據電磁平衡技術的電磁場傳播特點,分析了鋼板內外缺陷的檢測原理。采用有限元方法,研究了激勵頻率對內外缺陷響應信號的影響,優化得到20 Hz和400 Hz的最佳頻率組合,并對預制內外缺陷和裂紋的鋼板進行了實驗驗證。
測試目的:根據趨膚效應公式可知,電磁場的穿透深度與被測鋼板的電/磁導率與激勵頻率成反比。當激勵頻率較低時,電磁回路受趨膚效應影響較小,鋼板內磁場分布均勻,利于檢測鋼板的外表面缺陷,但信號易受周圍電磁噪聲干擾;當激勵頻率較高時,磁場受趨膚效應限制,被束縛在鋼板表面,鋼板趨膚層達到局部磁飽和,這可增強鋼板內表面缺陷檢測的靈敏度,但無法有效檢測鋼板外表面缺陷。多頻平衡電磁技術同時兼顧了高/低頻激勵的優點,可同時提高外表面缺陷的檢測能力與內表面缺陷檢測的靈敏度。
測試設備: Aigtek功率放大器、函數發生器、多功能濾波器、高精度示波器、待測管道
放大器型號: Aigtek Corporation ATA-3080功率放大器
實驗過程:
實驗平臺

試件電磁屬性測試曲線

檢測探頭

實驗中,函數發生器(Tektronix Corporation AFG31000)產生幅值1 V的正弦信號,電壓信號通過恒壓功率放大器(Aigtek Corporation ATA-3080)進行功率放大后,接入探頭的激勵線圈進行激勵電流加載;探頭檢測線圈的感應信號通過多功能濾波器(NF Corporation 3611)進行信號處理與調節,再接入高精度示波器(Tektronix Corporation MSO508)根據需要進行相應的處理。該示波器可實現檢測信號特征量的提取和分析,并可進行實時波形顯示與數據存儲。
測試結果:
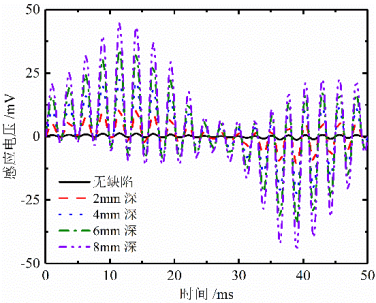
內缺陷測試結果

外缺陷測試結果

外缺陷單頻-多頻平衡電磁測試對比

管道內外表面缺陷加工示意圖

圖中,內外缺陷深度變化與電壓信號具有很好的一致性,這有效地驗證多頻平衡電磁方法對管道內外缺陷的檢測能力。此外,當管道無缺陷時,感應電壓信號不為零,在零電壓附近波動,這一方面可能是因為管道內表面并不光滑,導致左右磁腳距離管道表面距離不等;引起的感應電流并非完全對稱分布;另一方面可能是因為管道加工過程存在殘余應力以及上一次檢測完畢后未對管道采取退磁措施,導致管道內部的磁場非均勻分布,但電壓信號總體趨勢與理論分析相吻合。此外,對比檢測結果可以發現:采用多頻平衡電磁方法可顯著增強管道內表面缺陷的檢測深度(達到8 mm),這是因為多頻激勵信號中的低頻成分可有效提高交變磁場在管壁內的滲透深度,進而提高內表面缺陷的檢測深度。
通過以上的實驗案例,相信您對功率放大器在多頻平衡電磁檢測中的應用有了清晰的了解,如想了解更多有關功率放大器驅動應用,請持續關注安泰電子官網,或撥打安泰電子官方客服電話:029-88865020進行咨詢。
原文鏈接:http://m.dzbanwu.cn/news/742.html


























